欢迎访问浩源生物科技有限公司
+86-18635070697 服务时间:7 X 24小时
搜索
热线: +86-18635070697
手机: +86-15234460795
专注于植物提取物的研发、生产、检验、销售
公司介绍
产品中心
植物提取物
水溶产品
生粉系列
单一成分产品
质量管理
新闻中心
联系我们
English
在线询单
首页
>
产品中心
>>
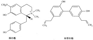
厚朴提取物
CAS No.
C18H18O2
品名
厚朴提取物
英文品名
Magnolia officinalis total phenols
性状
白色粉末